전체 글 143

[026-02] 가장 근본적인 이야기 II - The Atomic Hypothesis

[026-01] 원자가설 - The Atomic Hypothesis 모든것은 원자로 이루어져 있다. - All things are made of atoms. 적당한 거리만큼 서로 떨어져 있으면 끌어당기고, 그 거리를 억지로 좁히면 반발하는, 영원히 움직이는 아주 작은 입자를 원자라 하고, 모든것은 이 원자로 이루어져 있다. 우리 모두가 알아야 하는 과학적인 사실은 상대론이나 양자역학이 아니라 바로 위의 한 문장이다. 원자의 반지름은 1~2 x 10^-8 cm 수준인데, 여기서 뒤에 붙은 10^-8 cm (=10^-10 m) 를 Angstrom 이라고 읽으며, 나노 (nano) 의 10 분의 1 의 크기이다. 많이 하는 비유로, 사과를 지구만큼 크게 확대하면, 원자 하나가 대략 원래 사과의 크기가 된다고 ..

일반물리 2020.04.30

[026-01] 가장 근본적인 이야기 I

[026] 요즘들어 부쩍 관심이 많아진 현대물리에 대한 - 상대론과 양자역학에 대한 - 쉬운 이야기들을 다뤄봤고, 이제 고전물리라 불리는 내용을 시작 할 차례인데, 그 전에 우리가 하고 있는 이야기들의 근간을 이루는, 어쩌면 전부일지도 모를 이야기를 두 파트로 나누어 적어보고자 한다. 내용의 많은 부분은 그 유명한 파인만의 물리학 강의 1권을 참조했고, 어긋난 생각이 아니라는 가정 하에 내 생각도 중간중간 섞여 있는 글이 될거다. [026-01] 물리와 다른 분야의 관계 또는 물리학의 각 부분의 관계에 대한 적절한 설명 없이, 오랜세월에 걸쳐 만들어진 법칙(Laws) 들에 대한 이야기를 불쑥 들이대고, 그것을 누구도 좋아하지 않는 기호들과 수식을 가지고 설명하면서 "알아두라"고 하는 것은 정말 말도 안된..

일반물리 2020.04.29

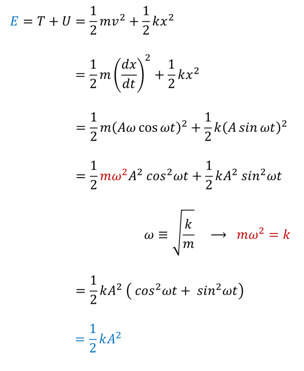
[025-02] 단순 조화 진동 풀이

[025-01] 앞에서 다룬 단순 조화 진동을 풀어보자. 물리에서 "푼다" 라는 말은 중고등학교 다닐 때 수학문제를 풀어 답을 내는 과정과는 좀 다른 의미로 쓰일 때 가 있는데, 그게 지금이다. 우리가 궁금한 계의 운동이나 상태를 어떻게 기술 할 수 있는지 알아 내는 일을 푼다 라고 하고, 대부분의 경우에 계의 에너지가 어떤 형태가 되는지, 어떤 변수와 관련있는지를 알아내는 과정을 뜻한다. 물론 종종 다뤘던 예제들처럼 특정 조건에서 우리가 궁금한 답을 내는 과정도 풀이 이다. [025-01-01] 고전역학 풀이 평형점 (x=0) 에서 오른쪽이든 왼쪽이든 변위가 발생하면 스프링의 복원력에 의해 변형의 반대 방향으로 힘이 작용하고, 이 힘이 물체를 움직이게 되며, 스프링의 복원력 외에 다른 힘이 전혀 작용하..

일반물리 2020.04.20

[025-01] 단순 조화 진동자 - The Simple Harmonic Oscillator

[025] 일반물리에서 다루는 양자역학의 마지막 이야기로 단순 조화 진동자의 양자역학적 해석을 알아보자. 단순조화진동은 Hooke's law (훅의 법칙) 으로 기술되는, 복원력이 작용하는 계를 의미하는데, 일정한 주기를 갖고 움직이는 물체, 복원력에 감쇠력이나 구동력이 함께 작용하는 경우를 다룰때도 유용하다. 실제로 진동을 제외한 가장 기본적인 주기 운동을 기술하는 내용이라, 스프링에 매달린 물체의 운동부터 이웃 원자와 결합되어 있는 원자의 운동을 기술하는데까지 또 전자기학의 회로이론에까지 정말 폭넓게 이용되는 기술 방법이다. [025-01] 고전적 해석 아래와 같이 스프링에 매달린 물체를 생각해보자. 평형위치 (x=0) 에서 오른쪽이든 왼쪽이든 한쪽 방향으로의 변위가 발생하면 스프링의 복원력에 의해 ..

일반물리 2020.04.17

[024] 터널링 - Tunneling Through a Potential Energy Barrier

[024] 무한포텐셜 우물 문제에서 우물 내부에 존재 가능한 에너지 상태가 양자화 됨을 확인했고, 유한포텐셜 우물 문제에서는 포텐셜의 크기가 무한대가 아니면 우물의 외부에서 입자가 발견 될 가능성이 존재함을 확인했다. 이제 유한한 높이와 폭을 갖는 포텐셜 "장벽(Barrier)" 이 존재하는 경우에 대해서 알아보자. [024-01] 먼저 생각해보자. 앞의 이야기들을 바탕으로 생각해보면, 포텐셜의 높이가 유한하니까 아마 장벽의 경계에서 파동함수가 0 이 아니어도 될테고, 파동함수가 0 이 아닌 상태로 존재 할 수 있을만큼 장벽의 폭이 좁으면, 어쩌면 입자가 장벽을 "통과" 할 수 있을지도 모르겠다. 그리고 이 상황을 그림으로 나타내면 다음과 같다. 위와 같은 형태의 포텐셜 에너지를 Square Barrie..

일반물리 2020.04.15

[023] 유한 포텐셜 우물 - A Particle in a Well of Finite Height

[023] 무한포텐셜 우물에 갇힌 경우를 알아봤으니까, 이제 포텐셜의 크기가 제한되어 있는 경우를 알아보자. 이 문제도 무한포텐셜 우물과 같이 구속조건이 주어진 상황의 슈뢰딩거 방정식을 풀어 적절한 파동함수를 얻는게 목표이다. [023-01] 유한 포텐셜 우물 고려하고 있는 상황은 위 그림과 같다. 계의 전체 에너지 E 가 포텐셜 U 보다 작은 경우이고, 고전적 개념에 따르면 입자는 이 상황에서 우물의 외부에서 발견 될 수 없다. 그런데.. 양자역학의 해석에 따르면 이 상황에서 입자가 우물의 외부에서 발견 될 확률이 어느정도 존재한다. 즉, 우물의 외부에서 파동함수가 0 이 아닌 값을 갖고, 따라서 확률밀도 - 파동함수의 절댓값의 제곱 - 또한 0 이 아닌 값을 갖는다는 말이다. 낮은 에너지를 가진 입자..

일반물리 2020.04.08

[022] 슈뢰딩거 방정식 - The Schrodinger Equation

[022] 이제 슈뢰딩거 방정식과 이를 이용한 상자속 입자를 기술하는 파동함수를 구해보기로 하자. 양자역학에서 슈뢰딩거 방정식은 고전역학의 뉴턴 제2운동법칙 - F=ma - 과 같은 입지를 갖고있으며, 그와 동일하게 다른 원리나 관계에서 유도 되지 않는다. 과격하게 표현하자면 그냥 하늘에서 뚝 떨어진 셈. 뉴턴 방정식에 비해 슈뢰딩거 방정식은 생긴것부터 너무 복잡한데, 사실 따지고 보면 원리적인 차이가 크지는 않고, 같은 원리에 아주 작은 세계와 파동의 개념이 더해지면서 이러한 형태가 됐다고 생각하면 좀 편할지 모르겠다. 파동함수는 계의 모든 정보를 담고있고, 이를 적절히 가공하면 우리가 알고싶은 내용을 얻을 수 있다는 얘기는 했지만, 정작 파동함수를 어떻게 구하는지에 관한 이야기는 하지 않았었는데, 슈..

일반물리 2020.03.31

[021] 상자 속 입자 - A Particle in a Box

[021] 공간의 어딘가에 존재하는 입자의 파동함수와 입자를 발견 할 가능성이 높은 평균 위치인 기댓값을 알아봤다. 이제 입자가 특정 구간에 존재하는 경우에 대해 알아볼텐데, 일반적으로 경계조건 아래의 입자 (Quantum Particle Under Boundary Conditions) 또는 상자 속 입자 (Particle in a box) 라 부르는 상황이다. 상자라는 단어를 사용하지만, 입자의 운동은 1차원으로 제한하여 문제를 단순화해서 접근할거고, 양자역학이 조건이나 상황을 분석하고 문제를 해결하는 과정이 고전역학의 방식과 어떻게 다른지 비교적 쉽게 알 수 있는 문제이다. [021-01] 고전적 입장 우리가 알아보고자 하는 상황을 고전적 입자 개념으로 그려본 그림이다. 하나의 입자가 투과가 불가능한..

일반물리 2020.03.26

[020-02] 파동함수를 쓰기 II

[020-01] 이제 위 두 표현이 어떤 관계가 있는지 알아보자. 이 과정은 복소수, 복소평면, 지수함수, 삼각함수 에 관한 내용들을 포함하고, 맥클로린 급수도 알면 이해가 편한데, 이걸 지금 다 하기 보다는 일단 뭐가 어떻게 되는지 부터 한번 보자. [020-01-01] 복소평면 고등학교에서 수 체계의 마지막 단계로 복소수를 배우는데, 어떤거냐면 z=x+yi 의 형태로 수를 표현한다는거다. i 는 제곱해서 -1 이 되는, 허수단위 라 부르는 친구인데, 별로 친한 사람은 없다. 그리고, z 의 구성을 보면 둘의 합으로 표현되는데, 앞은 실수부, 뒤는 허수부 라고 부른다. 실수와 허수는 더하거나 빼거나 하는게 되질 않아서 별 수 없이 두 부분으로 나누어 쓴 것이다. 이제 z 를 좌표평면에 나타내보자. 원래..

일반물리 2020.03.25

[020-01] 파동함수를 쓰기 I

[020] 파동함수를 알면 우리가 원하는 뭔가를 알 수 있다고 했는데, 정작 파동을 함수로 쓰는 것은 아직 다루지 않았고, 양자역학 내용을 좀 더 진행하려면 왜 파동이 삼각함수로 써 지는지를 한번은 정리를 해야겠다. 수학이 많이 나올 예정이다. 앞에서 파동함수를 아래 형태로 쓸 수 있다고 했었는데, 왜 이런 형태가 되는지 알아보자. [020-01] 파동함수 사인파의 일반형은 코사인 (cos) 을 이용해 쓰지만, 사인 (sin) 과 코사인은 위상차이만 있는 함수들이고, 우리는 앞으로 사인을 이용해 문제를 풀 예정이라 사인을 이용하기로 한다. 파동함수는 양자역학에서 갑자기 나온 말이 아니고, 원래 파동을 함수의 형태로 쓴 것을 파동함수라고 부른다. 파동-입자 이중성을 가지니까 기존에 파동을 함수의 형태로 쓰..

일반물리 2020.03.25
반응형