이런 저런 이유로 한동안 게시물을 올리지 못하고 있었는데, 또 당분간은 이렇게 시간이 지나가게 될 것 같아서 지나가는 이야기처럼 맥스웰 방정식을 정리 하려고 한다.
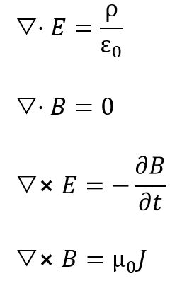
맥스웰 이전에 쿨롱, 가우스, 패러데이, 외르스테드 등등의 과학자들은 전기장과 자기장의 특징을 아래의 네 개 식으로 남겼다.

근데 여기까지는 맥스웰의 이름이 안나온다.
맥스웰이 한 일은 이제 시작이고, 툭하면 나오는 대칭성 (symmetry) 을 바탕으로 생각해보면 위 식은 좀 이상하다.
첫번째. 자기장의 발산은 왜 없지?
이건 자기 홀극이 존재하지 않는다는 결론으로 마무리 되고,
두번째. 자기장의 미분은 의미가 있는데, 전기장의 미분은 왜 없지?
이게 이상해서 자기장의 회전에 대한 네번째 식에 뭔가 더 있어야되지 않나? 라는 생각에 도달한 것.
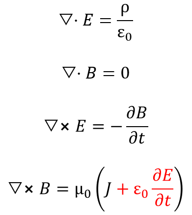
결론적으로 위 네번째 식에 아래의 항 하나를 추가해야 한다는 사실을 알게된다.

물론, 전기장의 시간에 대한 미분이 없으니까 걍 더하자. 고 생각한건 아니고, 다음의 계산 과정을 거치게 된다.
네번째 식의 양변에 발산을 취하면,

녹색으로 표시한 연속방정식을 얻게 되는데, 이 방정식의 좌변은 항상 0 이다.
그런데, 우변은 전류가 흐르는 (전하량이 변화하는) 것을 의미하니까 항상 0 일 수 가 없다.
이 오류를 보정하기 위해서 전기장의 미분항을 보태면,

수정된 네번째 식의 발산 연산자가 어디에 적용되는지 파란색으로 표시했다.
이렇게 되면 우변의 첫번째 항은 연속방정식의 형태가 되고,
두번째 항의 전기장의 발산은 가우스 법칙에 있으니까 정리하면,

네번째 식에 항이 하나 추가되어야 오류없는 식이 된다는 사실을 알게 됐다.
여기까지가 1차전이고, 이 내용을 포함한 방정식 네 개는,

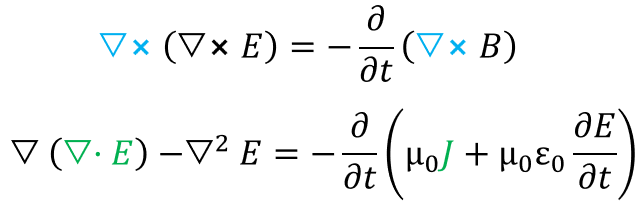
식이 여러개니까 저 식들 사이에는 또 무슨 관계가 있는지 알아보고 싶은데,
세번째 식에 회전을 한번 더 곱하면, 우변에 자기장의 회전에 대한 네번째 식이 나올테니 그걸 해보자.

위 식의 좌변은 수학책에 미리 계산된 결과가 있으니 그걸 가져다 쓰고, 우변은 위의 네번째 식에 결과가 있으니 대입하자.

좀 복잡하니까, 생략이 가능한 상황을 고려해보면,
좌변의 초록색 부분은 가우스법칙이고, 관심있는 공간에 전하가 없으면 0 이고,
우변의 초록색 전류밀도는 전류가 흐르지 않는 상황에서는 0 이므로,
즉, 전하도 전류도 없는 상황에서 남는 항은,

공간에 대해 두 번 미분, 시간에 대해 두 번 미분 한 형태의 식이 나오는데, 이는 파동 방정식 이고,
이 파동 방정식이 의미하는 파동의 속도는 시간에 대한 미분항 앞에 곱해진 값이 결정하는데, 다음과 같다.

그런데, 유전율과 투자율은 이미 알고있는 상수니까 대입해서 속도를 구해보니 빛의 속도가 나오더라는 것.
정리하면,
전기, 자기에 대해 알려진 식을 모아놓고,
대칭이 맞지 않는 부분을 보정하고,
연립해보니 파동 방정식이 나왔고,
그 파동의 속도를 계산해보니 빛의 속도가 나오더라는 것.
빛은 전기와 자기가 진동하는 파동이고,
전기, 자기, 빛의 근원은 같다.
여기까지.
'일반물리' 카테고리의 다른 글
| [101-28-03] 키르히호프의 법칙 예제 풀이 (2) | 2024.09.27 |
|---|---|
| [100-28-03] 키르히호프의 법칙 - Kirchhoff’s Rules (0) | 2024.09.26 |
| [099-28-02] 저항의 직렬과 병렬 연결 - Resistors in Series and Parallel (0) | 2024.09.11 |
| [098-28-01] 기전력 - Electromotive Force (0) | 2024.09.10 |
| [097-27-06] 전력 - Electrical Power (0) | 2024.09.06 |