[020]
파동함수를 알면 우리가 원하는 뭔가를 알 수 있다고 했는데, 정작 파동을 함수로 쓰는 것은 아직 다루지 않았고, 양자역학 내용을 좀 더 진행하려면 왜 파동이 삼각함수로 써 지는지를 한번은 정리를 해야겠다.
수학이 많이 나올 예정이다.
앞에서 파동함수를 아래 형태로 쓸 수 있다고 했었는데, 왜 이런 형태가 되는지 알아보자.

[020-01] 파동함수
사인파의 일반형은 코사인 (cos) 을 이용해 쓰지만, 사인 (sin) 과 코사인은 위상차이만 있는 함수들이고, 우리는 앞으로 사인을 이용해 문제를 풀 예정이라 사인을 이용하기로 한다.
파동함수는 양자역학에서 갑자기 나온 말이 아니고, 원래 파동을 함수의 형태로 쓴 것을 파동함수라고 부른다. 파동-입자 이중성을 가지니까 기존에 파동을 함수의 형태로 쓰던 그 모양을 가져다 쓴 것.
주교재의 16장에 있는 내용이다.
[020-02] 펄스 - Pulse
아래와 같이 하나의 진동이 왼쪽에서 오른쪽으로 진행하는 상황을 생각해보자.

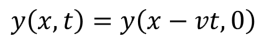
시간 t 일 때, 위치 x 의 밧줄의 높이를 y 라 하고, 셋의 관계를 기호로 쓰면,

그러면 아래의 관계가 성립한다.

이게 무슨말이냐면, 시간 t 일 때 위치 x 의 밧줄의 높이 와 시간 0 일 때 위치 x-vt 의 밧줄의 높이가 같다 는 말인데, 그림으로 보면,

왼쪽은 시간 0, 오른쪽은 시간 t 이고, t 일 때 P 의 높이와 0 일 때 높이가 같다는 것.
[020-03] 파동을 식으로 써보자.
아래의 파동을 보자.

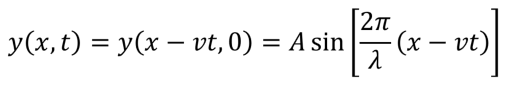
지금 내용부터는 사인이든 코사인이든 상관없는데, 위 그림이 사인이니까 아래의 식 으로 쓸 수 있다.

A는 진폭이고, 주기, 진동수, 파장 같은 값을 아직 모르니까 a 는 아직 정해지지 않은 값 이다.
일반적으로 알고있는 삼각함수는 가로축이 각도 이지만, 우리는 공간을 진행하고 있는 파동을 다루니까 위의 형태로 써진다고 생각하자.

x=0 에서 진폭이 0 이고, 진폭이 0 인 (y=0) 다음 지점은 x 가 파장의 1/2 인 지점이므로 다음을 얻는다.

위 관계에서 아직 정해지지 않은 a 를 다음으로 구할 수 있다. (sin 파이 = 0 이다.)

이제 a 를 일반형에 대입하면 다음을 얻는다.

여기서 펄스에서 얻은 관계식을 적용하면,

자, 이제 파동을 시간과 위치를 변수로 갖는 삼각함수로 쓸 수 있게됐다. 사인은 코사인으로 바꿔도 문제 없다.
이게 바로 양자역학에서만 쓰는 것 처럼 다루던 그 파동함수이다.
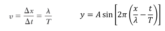
이제 위 식을 약간 더 파동 스럽게 바꿔보자. 아래 왼쪽 관계를 이용해 위 식을 변형하면,

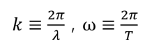
그리고, 파수 (k : wave number) 와 각진동수 (w : angular frequency) 를 이용하면,


를 얻을 수 있다.
[020-04] 정리
공간을 진행하는 파동을 함수의 형태로 일단 써 봤다.
진폭이나 주기가 변하지 않는 이상적인 파동은 삼각함수의 그래프와 형태가 같고, 삼각함수의 주기가 각도(radian) 와 관련 있음을 이용해서 파동을 식으로 표현했다.
이 과정은 그냥 동그라미 였던 원을 좌표평면에 그리면 원의 방정식으로 쓸 수 있는것과 같은 원리다.
[참고문헌]
주 교재 : Physics for Scientists and Engineers, 9th Edition, Serway/Jewett
'일반물리' 카테고리의 다른 글
| [021] 상자 속 입자 - A Particle in a Box (0) | 2020.03.26 |
|---|---|
| [020-02] 파동함수를 쓰기 II (4) | 2020.03.25 |
| [019] 1차원 파동함수와 기댓값 - Expectation Value (0) | 2020.03.23 |
| [018] 파동함수 - The Wave Function (0) | 2020.03.21 |
| [017] 양자역학 시작하기 전에 (0) | 2020.03.17 |